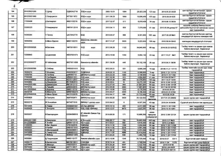
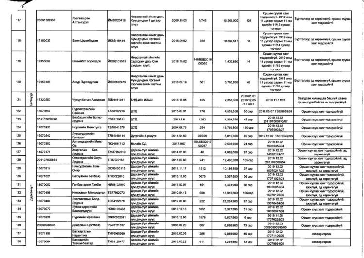
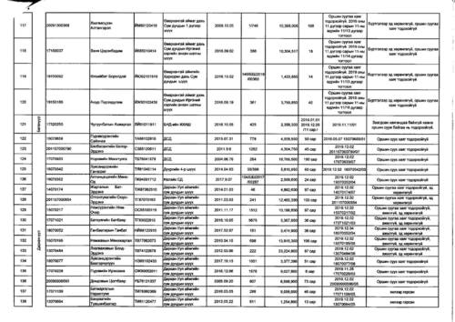
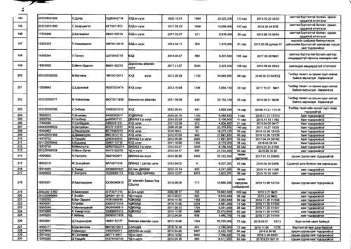
Хүүхдийн тэтгэмжээс зугтсан 233 ЭЦЭГ

img
Гэрэл зургийг MPA.mn

 

Монголын эмэгтэйчүүдийн холбоо, ШШГЕГ-тай хамтран хүүхдийн тэтгэмжээ төлөхгүй эрэн сурвалжлагдаж байгаа 233 эцэг, эхийн нэрийг зарлалаа. 

 

Хүүхдийн эрхийг зөрчиж, хүүхдийн тэтгэмжээ төлдөггүй эцгүүдийн тоо нэмэгдсээр байгаа тул Олон Улсын Хүний Эрхийн Өдрийг тохиолдуулан /2019.12.10/ ийнхүү нэрсийг нь зарлажээ. 

 

Тухайлбал, 2018 оны байдлаар улсын хэмжээнд 91503 өрх толгойлсон эцэг, эх байгаагаас 72000 гаруй нь эмэгтэйчүүд байна. Иймд МЭХ, ШШГЕГ-тай хамтран хүүхдийн мөнгөн тэтгэмжээ төлөлгүй, тэдний эрхийг зөрчиж буй хариуцлагагүй эцэг, эхийн нэрсийг зарлав.

 

Эхний ээлжинд эрэн сурвалжлагдаж буй 233 иргэний нэрсийг зарлаж байгаа бөгөөд цаашид ШШГЕГ-тай хамтран Зөрчлийн тухай хууль болоод Шүүхийн шийдвэр гүйцэтгэх тухай хуулиудад тэтгэмжээ төлөхгүй эцэг эхийн хариуцлагын талаар нэмэлт өөрчлөлт оруулахаар ажиллаж байгаа аж. 

СЭТГЭГДЭЛ БИЧИХ

zochin:
Shuuhiin shiidver guitsetgeh alba ajlaa hiij chadahgui baigaaguin ilrel.Shuuhiin shiidver guitsetgeh albiig duureg duuregt ni ajilluulsan ni deer dee
2019-12-12
Zub
2019-12-11
zuv
2019-12-11